WGS84与CGCS2000坐标的精密转换方法
根据自然资源部的要求,在2018年6月底前需要将所有测绘成果向CGCS2000大地坐标系转换,这里为你介绍一下转换的方法。
01
WGS84坐标系
WGS84(World Geodetic System 1984)是由美国国家地理空间情报局 (NGA) 开发和维护的全球定义基准,前身为WGS30、WGS33和WGS72,其椭球体参数如下:
长半轴 a=6378137m
扁率 f=1/298.257223563
地心引力常数 GM=3.986004418x10¹⁴ m³/s²
地心自转角速度 w=7.292115x10⁻⁵ rad/s
值得注意的是,想要保证坐标的精度,必须要知道当前WGS84坐标系对应的参考框架(ITRF)和历元,不同年份WGS84坐标系同参考框架和历元的对应关系如下表。

坐标系同参考框架历元对应表
WGS84属于地心坐标系,将三维位置与坐标相关联,格式为纬度 (B)、经度 (L)和椭球高度 (H)。
02
CGCS2000坐标系
CGCS2000坐标系(China Geodetic Coordinate System 2000)从2008年7月1日开始使用,所采用的4个基本参数如下:
长半轴 a=6378137m
扁率f=1/298.257222101
地心引力常数 GM=3.986004418x10¹⁴ m³/s²
地心自转角速度 w=7.292115x10⁻⁵rad/s
CGCS2000坐标系基于国际地球参考系统的具体实现(即ITRF97),并设定了历元2000.0(即2000年1月1日)为基准时刻。
CGCS2000坐标系的产生是为了适应全球卫星导航技术的发展,以及对更高精度测量的需求。
03
转换方法
虽然可以通过CORS系统、千寻位置服务或者CGCS2000控制点进行联合平差直接获取CGCS2000坐标。
但是对于CORS系统、千寻位置覆盖不到的区域或者控制点有限的区域,很难直接获取CGCS2000坐标。
而GNSS精密点定位可以直接获取到高精度的WGS84坐标,所以可以通过坐标转换将WGS84坐标转换为CGCS2000坐标。
二者之间的转换首先是参考框架的转换,由上面可以知道CGCS2000采取的是ITRF97参考框架,不同的参考框架之间可以使用布尔沙模型进行转换。

转换公式一
公式中的Tx、Ty、Tz 和 Rx、Ry、Rz 分别代表 x、y、z 三个坐标轴的平移参数和旋转参数,D 代表尺度参数。
这些转换参数等于基准历元时的参数 P(t₀) 加上转换历元t和历元 t₀之间的变化量:

转换公式二
除了参考框架的转换,还需要对历元进行转换,因为地球并不是一成不变的,会存在板块运动(漂流、挤压、变形等)。
由板块运动产生的变化,会使得不同历元之间的位置差异很大,其造成的误差远远大于框架产生的影响。
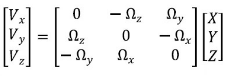
对于板块运动的改正,可以采用欧拉矢量方式得出测站速度计算公式为:

计算公式一
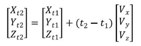
通过公式得到Vx,Vy,Vz的值后,就可以代入公式计算坐标的历元:

计算公式二
除了框架和历元转换,还需要通过速度场模型进行校正,常用的速度场模型有NNR-NUVEL1A模型和CPM-CGCS2000模型。
NNR-NUVEL1A模型常在国外使用,不能很好的反映国内的板块运动,所以国内一般采用的是CPM-CGCS2000模型。
《大地测量控制点坐标转换技术规范》(CH/T2014-2016)规范规定采用的模型就是CPM-CGCS2000模型。

CPM-CGCS2000板块欧拉矢量及板块拟合误差表
要想准确在WGS84坐标和CGCS2000坐标之间转换,除了参考框架和历元的转换之外,还需要考虑速度场模型。
04
写在最后
本文为你分享了WGS84与CGCS2000坐标的精密转换的方法,主要包括了WGS84坐标系、CGCS2000坐标系和转换方法等步骤。
目录 返回
首页